伟德Betvictor

伟德Betvictor 伟德Betvictor

科研成果

分析一阶荧光光谱对叶片氮含量评估的影响

作者: 来源: 阅读次数: 日期:2020-04-16

1. 标题

· 分析一阶荧光光谱对叶片氮含量评估的影响

· Analyzing the performance of the first derivative fluorescence spectrum for estimating leaf nitrogen concentration

· Potential of fluorescence index derived from the slope characteristics of laser-induced chlorophyll fluorescence spectrum for rice leaf nitrogen concentration estimation

2. 成果信息

· Yang J., Du L., Gong W., Shi S., Sun J., & Chen B.W. Analyzing the performance of the first derivative fluorescence spectrum for estimating leaf nitrogen concentration. Optics Express. (2019), 27(4): 3978-3990.

· Yang J., Du L., Shi S., Gong W., Sun J., & Chen B.W. Potential of fluorescence index derived from the slope characteristics of laser-induced chlorophyll fluorescence spectrum for rice leaf nitrogen concentration estimation. Applied Sciences. (2019), 9(5): 916.

3. 成果团队成员

· 杨健,博士,中国地质大学(武汉)地理与信息工程学院,特聘副教授,主要从事荧光/高光谱激光雷达硬件研制、农作物定量遥感监测应用研究,以及相关理论研究如PROSPECT/FLUOREMODLEAF模型等。

· 杜霖,博士,中国地质大学(武汉)地理与信息工程学院,特聘副教授,主要从事多/高光谱激光雷达研制、农作物定量遥感监测应用研究等。

· 孙嘉,博士,中国地质大学(武汉)地理与信息工程学院,特聘副教授,主要从事植被反射谱模型等研究。

4. 成果介绍

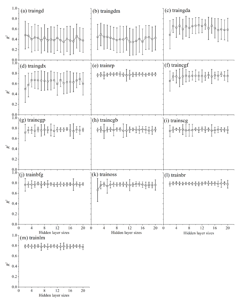
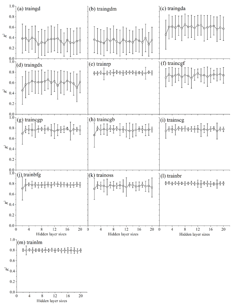
· 首先通过分析不同的激发光(355nm, 460nm, 556nm)获取的水稻叶片的一阶荧光特征对水稻叶片氮含量评估的影响,发现一阶荧光光谱能够获取更多的细节特征信息用于水稻氮含量的定量评估,并且能够达到较为满意的评估结果。随后,采用常规的多远分析方法对众多的一阶光谱光谱信息进行分析,提取主要变量。结果表明,基于多元分析提取的主成分变量能够有效用于水稻氮含量监测,减少冗余信息的影响。

· 在此基础上,提出了基于一阶光谱的荧光指数用于水稻氮含量监测。提出的荧光指数,通过与基于荧光光谱的荧光指数进行对比分析,发现提出的荧光指数在采用常规的神经网络反演算法进行分析时,具有更好的鲁棒性和稳定性,从而为荧光光谱信息的植被遥感监测应用提供一种新的思路。

1. 不同激发光波长下计算获得的水稻叶片一阶荧光光谱

2:基于BPNN模型分析一阶荧光波段比对叶片氮含量评估性能

3. 基于PCA提取的一阶荧光特征对叶片氮含量评估结果。

4.常规的荧光指数基于BPNN对叶片氮含量评估结果

5. 提出的一阶荧光指数基于BPNN对叶片氮含量评估结果